Back to News

Study Highlights Major Hurdles for Multinational Clinical Trials in Europe

A new study by investigators from Europe, including the Netherlands and the United Kingdom (UK), has shed light on significant ethical, administrative, regulatory, and logistical (EARL) hurdles in delivering multinational randomized clinical trials. The research was the first to comprehensively quantify these barriers for an international platform trial and emphasizes the need for urgent improvements, particularly in preparing for future public health crises.

Randomized controlled trials provide the highest level of evidence to inform medical practice. Yet, delivering such trials presents significant operational challenges and is becoming increasingly difficult. One of the many challenges of conducting high-quality, large-scale clinical research is ensuring compliance with all necessary ethical, administrative, regulatory, and logistical (EARL) requirements. In the event of severe infectious disease outbreaks requiring rapid action, EARL requirements and cross-country coordination make it challenging to implement clinical studies. The COVID-19 pandemic has demonstrated that there is wide variation in how countries approached clinical research in a public health emergency. However, the differences in timelines between countries have not been comprehensively quantified.

Comparing timelines

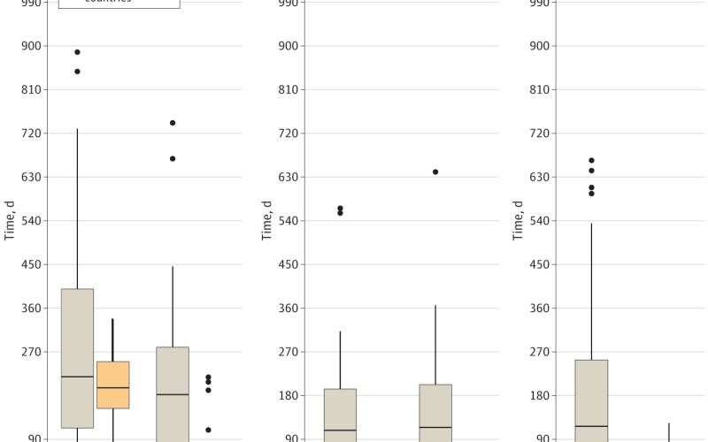
In this study, researchers quantified the timelines for EARL procedures, comparing different European countries. They used data from the Randomized Embedded Multifactorial Adaptive Platform trial for Community-Acquired Pneumonia (REMAP-CAP), which spanned both the pre-pandemic (2016-2020) and pandemic (2020-2023) periods. REMAP-CAP, an international clinical trial with an innovative adaptive platform design, was designed to test multiple drugs for the treatment of pneumonia, including COVID-19, which allowed for the comparison of a large number of submissions. The new analysis, published this week in JAMA Network Open, covered 257 fully signed contracts with study sites in 19 European countries and focused on three key metrics: time to complete site contracts, time to regulatory and ethical approval (TTA), and time to first patient enrollment (FPI).

Differences between countries

The results showed that the UK achieved dramatic gains in efficiency during the pandemic, with median contract completion time dropping by 97 percent: from 196 days pre-pandemic to just 5 days during the pandemic. In contrast, non-UK countries in Europe saw only an 18 percent decrease, with median times dropping from 224 to 183 days. The study also revealed stark differences in the time to ethical and regulatory approvals. Median TTA in the UK during the pandemic was 8 days, compared to 115 days in non-UK countries. Time from approval to first patient enrollment was, on average, three months faster in the UK (26 days versus 116 days).

“These findings highlight the striking differences in research infrastructure and interpretation of regulatory guidelines across Europe” said epidemiologist Denise van Hout, MD, PhD (Research Program Epidemiology of Infectious Diseases, UMC Utrecht), first author of the manuscript. “For researchers, it is clear that EARL processes in Europe can be a major bottleneck to trial initiation and execution, slowing down patient access to potentially life-saving therapies. But addressing these challenges requires proactive efforts, also from researchers themselves.”

Figure 1. Site Contract Completion Time, Time to Approval, and Time From Approval to First Patient In

“For researchers, it is clear that EARL processes in Europe can be a major bottleneck to trial initiation and execution, slowing down patient access to potentially life-saving therapies. But addressing these challenges requires proactive efforts, also from researchers themselves.”

Consistent, transparent processes

The researchers also noted that while the UK benefited from its established research networks and emergency trial frameworks, other countries continued to face considerable challenges. These differences underscore the need for harmonization of EARL procedures across countries to reduce delays and maximize the impact of collaborative trials.

“For researchers planning or conducting multinational studies, it is vital to acknowledge how preparation and engagement with ethical processes can contribute early on.” Van Hout emphasized. “Researchers, policymakers, legal experts, and regulators must collaborate to develop consistent, transparent processes that prioritize trial delivery without compromising safety and ethics. This also includes more efficient contracting. Greater collaboration and streamlining EARL procedures are essential to ensure that patients across Europe can benefit from innovative research, especially during future pandemics.”

Reference

Van Hout D, Mouncey P, Harrison D, Bonten M, Derde L, and the REMAP-CAP European Regional Investigators. Hurdles for the Delivery of Multinational Randomized Clinical Trials. JAMA Network Open, July 2, 2025;8;(7):e2518503.

Back to top